KV31 ADC Sample Rate with Hardware Averaging

キャンセル
次の結果を表示 
表示  限定  | 次の代わりに検索 
もしかして: 

KV31 ADC Sample Rate with Hardware Averaging

ソリューションへジャンプ
2,394件の閲覧回数
ohiogt
Contributor III

I'm using the PIT to hardware trigger the ADC module.  I was able to successfully capture a 1 kHz test signal at a 100 kSPS rate.  I then implemented hardware averaging.  I expected the sample rate to drop to the base sample rate divided by the number of averages (i.e. 100 kSPS / 4 avg. = 25 kSPS).  Instead it dropped by a factor of 3 (33.33 kSPS).  I found the other settings resulted in sample rates that were (3/4 * number of avg's).  So an average of 8 resulted in a sample rate reduction of 6.  Has anyone else confirmed this?  Is the intended behavior?

No Averaging - 100 kSPS Assumed Sample Rate, 1 kHz Test Signal

time no avg.jpg

freq no avg.jpg

Averaging of 4 - 25 kSPS Assumed Sample Rate, 1 kHz Test Signal

time 4 avg.jpg

freq 4 avg.jpg

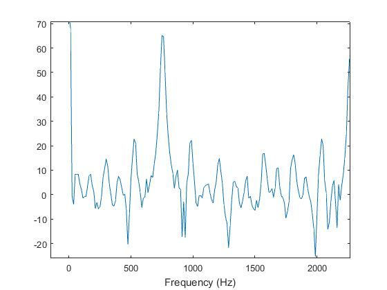
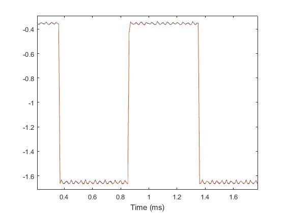
Averaging of 4 - 33.33 kSPS Assumed Sample Rate, 1 kHz Test Signal

time 4 avg 33.jpg

freq 4 avg 33.jpg

ラベル(1)
タグ(2)
0 件の賞賛
返信
1 解決策
2,051件の閲覧回数
alexeyusoltsev
Contributor IV

 Hi!

When you are using hardware avereging your PIT just starts a burst of a conversion. Each burst consist of number of hardware averege. Inside each of burs acting rules of continios conversion.

 The time of such a burst depends on your ADC clock speed, sample time settings and ADC resolution.

元の投稿で解決策を見る

0 件の賞賛
返信
3 返答(返信)
2,052件の閲覧回数
alexeyusoltsev
Contributor IV

 Hi!

When you are using hardware avereging your PIT just starts a burst of a conversion. Each burst consist of number of hardware averege. Inside each of burs acting rules of continios conversion.

 The time of such a burst depends on your ADC clock speed, sample time settings and ADC resolution.

0 件の賞賛
返信
2,051件の閲覧回数
ohiogt
Contributor III

Alexey/Jorge,

Thanks for the response.  I was incorrectly assuming the PIT initiated each sample input to the hardware average function.

Shawn

0 件の賞賛
返信
2,051件の閲覧回数
jorge_a_vazquez
NXP Employee
NXP Employee

Hi Shawn Mason

Sorry for the late reply. It is difficult to us determinate the problem here if we don't have knowledge of how you setup the ADC conversions. How are you setting your sample time? and how is your Base conversion time? is it possible that you share your complete project or the part that setup your ADC conversion?

I recommend you to check section 31.4.3.5 Sample time and total conversion time in the reference manual. Here you could find:

pastedImage_7.png

So, ConversionTime could be affected by time added due to long sample or High-speed.

Hope this information help you, please don't hesitate to tell me if you have more question of this.

Best Regards

Jorge Alcala

0 件の賞賛
返信