I do the motor control In the Fixed-Point MCU MC56F84766, I have some questions about parameter scaling:
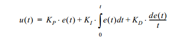
for example,when we do PID control,

then, we discrete it,

The discrete time domain representation of the recurrent PI algorithm scaled into
the fractional range as

next,

where f16 is a fractional number which must be within the fractional range
<-1, 0.9999> ,if f16CC1, f16CC2, and f16CC3 is too small or more than 1, we must by scaling shift , and my question is that after we scaled , how the final result do?
for example 0.5 = 0.2+2*0.3-0.3,and we scaled,
0.5 = 0.2 + 0.5*0.3*2^2 -0.3, we use the math libaray, how do we get the final result? I guess if by Q format transform?
could you give me some reference doc or source code?