Connecting 12 bit bayer camer to parallel camera interface (IPU)

取消
显示结果 
显示  仅  | 搜索替代 
您的意思是: 

Connecting 12 bit bayer camer to parallel camera interface (IPU)

3,797 次查看
satyanraj
Contributor I

Hi Support team,

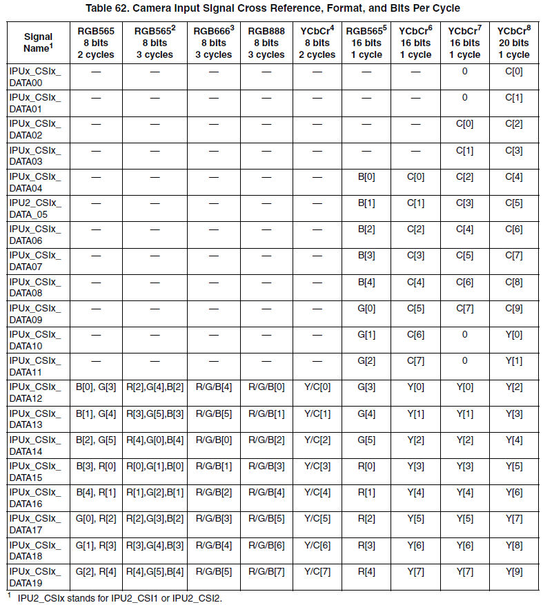
I want to connect 2x camera (12 bit bayer) to iMX6 processor. In the reference manual, Table 37-2 (Data Formats Supported By The Camera Port) comments only about 9-10 bit/value and 16 bit/value.

In order to connect a 12-bit  camera output, Can I use the following hardware connection

IPUx_CSIx_DATA08 ----> CAM_DATA_0,

IPUx_CSIx_DATA09 ----> CAM_DATA_1,

IPUx_CSIx_DATA10 ---> CAM_DATA_2,

IPUx_CSIx_DATA11 ----> CAM_DATA_3,

IPUx_CSIx_DATA12 ----> CAM_DATA_4,

IPUx_CSIx_DATA13 ----> CAM_DATA_5,

IPUx_CSIx_DATA14 ----> CAM_DATA_6,

IPUx_CSIx_DATA15 ----> CAM_DATA_7,

IPUx_CSIx_DATA16 ----> CAM_DATA_8,

IPUx_CSIx_DATA17 ----> CAM_DATA_9,

IPUx_CSIx_DATA18 ----> CAM_DATA_10,

IPUx_CSIx_DATA19 ----> CAM_DATA_11,

IPUx_CSIx_DATA20 ----> CAM_DATA_12,

and other signal HSYNC , VSYNC, PCLK, MCLK to the IMX6?

 

Can I use the rest of the signal associated with the camera interface (IPUx_CSIx_DATA00 to IPUx_CSIx_DATA07) for alternate function?

 

Regards,

Satyan

标签 (4)
标记 (4)
0 项奖励
回复
4 回复数

3,563 次查看
satyanraj
Contributor I

Hi weidong.sun,

 

A gentle reminder, request support on the above query. Please refer to the above question.

Best Regards,

Satyan 

0 项奖励
回复

3,563 次查看
weidong_sun
NXP TechSupport
NXP TechSupport

Hi Satyan Raj,

     You should know signal definitions of your camera, which lines are for Y or C, or which lines are for R, G, B. then determine how to connect them to CPU side.

     you camera is 12 bit, so you will have to connect it to CPU via 16bit connections.

Have a nice day!

Weidong

3,563 次查看
satyanraj
Contributor I

Hi Wigros Sun,

I have already look at this table in the datasheet/reference manual. It doesn't provide me with enough information in order to proceed with the h/w design. Can you please recheck for the requested information.

Best Regards,

Satyan 

0 项奖励
回复

3,563 次查看
weidong_sun
NXP TechSupport
NXP TechSupport

Hi Satyan,

    please refer to description in datasheet!

pastedImage_1.png

pastedImage_2.png

Have a nice day!

TIC weidong sun