Why the LPDDR4 channel connection interchanged with i.MX8M Mini in the reference design?

取消
显示结果 
显示  仅  | 搜索替代 
您的意思是: 
已解决

Why the LPDDR4 channel connection interchanged with i.MX8M Mini in the reference design?

跳至解决方案
1,622 次查看
m_c
Senior Contributor I

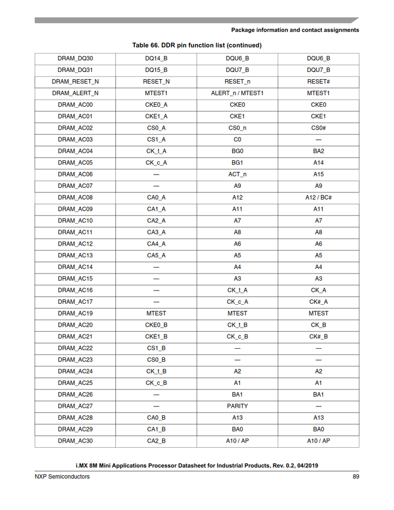
In data sheet, DRAM_AC04 <-> CK_t_A and DRAM_AC24 <-> CK_t_B, but in the reference design,  DRAM_AC04 <-> CK_t_B and DRAM_AC24 <-> CK_t_A?

pastedImage_1.png

pastedImage_2.png

标签 (1)
0 项奖励
回复
1 解答
1,494 次查看
art
NXP Employee
NXP Employee

In the i.MX8MMini EVK design, the LPDDR4 channels _A and _B are completely swapped with regard to the LPDDR4 chip. This is done for the PCB routing convenience.

Best Regards,

Artur

在原帖中查看解决方案

0 项奖励
回复
2 回复数
1,495 次查看
art
NXP Employee
NXP Employee

In the i.MX8MMini EVK design, the LPDDR4 channels _A and _B are completely swapped with regard to the LPDDR4 chip. This is done for the PCB routing convenience.

Best Regards,

Artur

0 项奖励
回复
1,494 次查看
siegfried_buerger
Contributor II

I am not really sure, but I´ve noticed:

If you do not connect the pins as in the reference design, there will be crossings at the end, in the routing.

So i think it´s just because it´s better for the layout.