Hello @tedj1 ,
Yes, you are correct with the mathematics.
The missing part is L0 of the reader ("L01"): the "single turn" inductance increases with the increasing r. That "reduces the coupling at higher r".
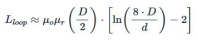
a simple formula is used like this:

D = 2r = diameter of the antenna coil
d = wire diameter (= constant and small compared to D)
If you take this into account, the curve looks like plotted in the slides.
And in fact even in the curve result (as plotted in the slides), it can be seen that the maximum is not exactly at r=x, but slightly below... Still as a thumb rule it fits.
Have a great day,
Kan
-------------------------------------------------------------------------------
Note:
- If this post answers your question, please click the "Mark Correct" button. Thank you!
- We are following threads for 7 weeks after the last post, later replies are ignored
Please open a new thread and refer to the closed one, if you have a related question at a later point in time.
-------------------------------------------------------------------------------