Hi Alexey,
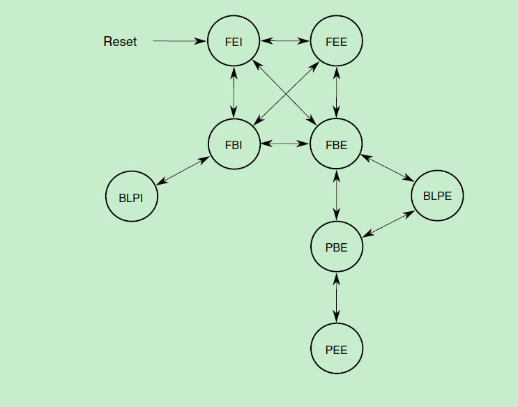
The K10P64M72 chip doesn't have the oscillator auto-swithing function, all the MCG mode is switched by the code.
After reset, the MCU will enter in FEI mode which is using internal oscillator, if you want to use the external crystal as the clock source, you need to switch the MCG mode by the code.

If you choose the correct external crystal and the according circuit, the crystal should be stable, otherwise, your MCG switch will be failed.
About this question, I think you can pay more attention in the hardware design to make sure the hardware can work stable. In the software, you can detect the MCG mode switch, if switch to the external crystal, and failed, then code should switch back the last MCG mode.
Wish it helps you!
Have a great day,
Jingjing
-----------------------------------------------------------------------------------------------------------------------
Note: If this post answers your question, please click the Correct Answer button. Thank you!
-----------------------------------------------------------------------------------------------------------------------